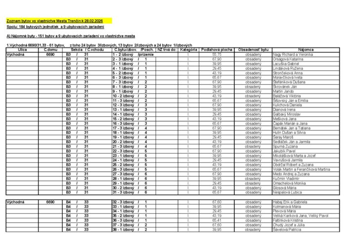
Zoznam bytov vo vlastníctve mesta
3. 11. 2025

Verzia pre tlač
Cookies sú malé súbory, ktoré sa dočasne ukladajú vo vašom počítači a pomáhajú nám k lepšej užívateľskej skúsenosti na našich stránkach. Cookies používame na poskytovanie funkcií sociálnych sietí a na analýzu návštevnosti.
Zo zákona môžeme na vašom zariadení ukladať iba súbory cookie, ktoré sú nevyhnutné pre prevádzku týchto stránok. Pre všetky ostatné typy súborov cookie potrebujeme vaše povolenie. Budeme vďační, keď nám ho poskytnete a pomôžete nám tak naše stránky a služby zlepšovať. Svoj súhlas s používaním cookies na našom webe môžete samozrejme kedykoľvek zmeniť alebo odvolať.
Technické súbory cookie sú pre prevádzku nevyhnutné a pomáhajú urobiť webové stránky uplatniteľnými tým, že umožňujú základné funkcie, ako je navigácia na stránke a prístup k zabezpečeným oblastiam webovej stránky. Bez týchto súborov cookie nemôže web správne fungovať.
Analytické cookies pomáhajú prevádzkovateľovi stránok pochopiť, ako návštevníci stránok stránku používajú, aby mohol stránky optimalizovať a ponúknuť im lepšiu skúsenosť. Všetky dáta sa zbierajú anonymne a nie je možné ich spojiť s konkrétnou osobou.